косинус картинки
Косинус картинки — это метрика, которая позволяет оценивать сходство между изображениями. Она основывается на вычислении косинусного расстояния между векторными представлениями изображений. Чем ближе значение косинуса к 1, тем больше схожесть между картинками. Эта метрика находит применение в различных областях, включая компьютерное зрение, поиск похожих изображений и классификацию объектов на фотографиях.
Тригонометрический круг ось синусов
Теорема Пифагора синус косинус тангенс
Теорема синусов формула 9 класс
Таблица синусов на окружности
Как определить синус или косинус
Тангенс угла через синус и косинус
Тангенс по косинусу
Синус косинус тангенс
Синус косинус тангенс
Синусы и косинусы углов
Геометрия синус косинус тангенс
Косинус угла в прямоугольном треугольнике
Как найти синус и тангенс
Геометрия sin cos TG
Формула косинуса угла в треугольнике
Тригонометрические формулы прямоугольного треугольника
Косинус угла
Sin cos TG В треугольнике
Косинус на рисунке треугольника
Синус косинус тангенс угла
Нахождение синусов косинусов тангенсов котангенсов
Чертеж синуса косинуса и тангенса
Теорема синусов косинусов тангенсов
Синус угла б в прямоугольном треугольнике
Изображение синуса
Косинус угла Альфа
Формула тангенса острого угла прямоугольного треугольника
Задачи на синус косинус тангенс
Косинус картинка
Как найти синус косинус и тангенс угла
Формула нахождения тангенса острого угла
Таблица значений синусов косинусов тангенсов
Синус косинус тангенс в прямоугольном
Синус и косинус на рисунке
Как находится синус косинус и тангенс
Как найти синус косинус и тангенс
Как вычислить синус и косинус любого угла
Как найти синус угла b
Синус на окружности
Sin cos TG углов
Формулы нахождения синуса косинуса и тангенса
Значения синусов и косинусов на окружности
Косинус острого угла прямоугольного треугольника
Значение углов синуса и косинуса таблица
Как найти sin cos TG треугольника
Тригонометрическая окружность ось синусов
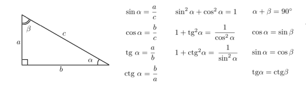
Синус косинус тангенс котангенс в прямоугольном треугольнике
Теорема Пифагора синус косинус тангенс
Комментировать
Комментарии (0)
Смотрите онлайн или можете скачать на телефон или компьютер в хорошем качестве совешенно бесплатно. Не забывайте оставить комментарий и посмотреть другие фотографии и изображения высокого качества, например картинки гостеприимство и снегоуборочная машина картинки из раздела Картинки для срисовки






Grizly.club